您当前的位置:液压与气动专题教程《液压与气压传动》教案  
        第8章 流量阀与节流调速回路
   调速原理与方式
   节流阀与节流调速回路
   调速阀
  ●调速原理与方式
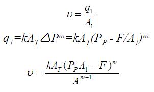
   对液压缸 v=q/A
   对液压马达 n=q/vm
  调速方法:
  节流调速回路:用定量泵供油,采用流量控制阀调节进入执行元件的流量实现调速。
  容积调速回路:改变变量泵的排量或改变变量马达的排量实现调速。
  容积节流调速回路:用自动改变排量的变量泵与流量控制阀联合调速。
  ●节流阀与节流调速回路
  流量控制阀:控制流体流量的阀 (节流阀与调速阀)。
  工作原理:利用改变阀口通流截面积的方法来控制流体流量,从而控制执行元件的运动速度。
  ▲节流阀的节流特性

  ▲节流口的主要形式
  ▲节流阀的结构与常见故障
  ▲节流调速回路
  节流阀的节流特性
     
  式中 AT:节流口通流截面积;  ΔP:节流口前后的压差;
    K:由节流口的形式、尺寸和流体性质决定的系数;薄壁小孔K=; 细长孔     m:由节流口的长径比决定的指数. 薄壁孔m=0.5,细长孔m=1
   Cd:流量系数,一般取0.62~0.63
   影响流量q变化因素:
      负载变化的影响;
      温度变化的影响;
      节流口形状的影响,最小稳定流量:0.05L/min;
   结论: 薄壁小孔好。
   节流口的主要形式
      
   节流阀的结构与常见故障
    
  适用于负载和温度变化不大,或速度稳定性要求较低的液压系统.
  防止节流阀故障的措施.
  压差DP=0.2~0.3Mpa.
   节流调速回路
  节流调速:用节流阀实现流量调节的方法.
  节流调速回路由定量泵、溢流阀、节流阀与执行元件组成,按节流阀在油路中安装位置不同,可分为:
  进油节流调速回路;
  回油节流调速回路;
  旁油路节流调速回路;
  ●节流调速的原理
  节流元件用来调节流量是有条件的:即要求有一个接受节流元件压力信号的环节(与之并联的溢流阀或恒压变量泵).
   进油节流调速回路(定压式)
  速度负载特性:在回路中调速元件的调定值不变的情况下,负载变化所引起速度变化的性能.
     
  液压缸的运动速度与节流阀通流面积成正比.
  当节流阀通流面积一定时,液压缸的运动速度随着负载增加而减小.
   进油节流调速回路
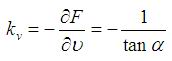
   速度刚度kv:
     
  物理意义:引起单位速度变化时负载力的变化量。它是速度负载特性曲线上某点处斜率的倒数.
  当节流阀通流面积AT不变时,负载越小,速度刚度越大,曲线越平缓,α角越小;
  负载一定时,节流阀通流面积越小,则速度刚度越大。
  这种调速回路的速度稳定性,在低速轻载情况下,比高速重载时好。
  增大液压缸有效面积和提高液压泵供油压力,可提高速度刚度。
   最大承载能力:
     
  
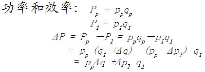
  该回路功率损失由两部分组成,即溢流损失和节流损失。
  回路的效率ηc:
  进油节流调速回路适用于轻载、低速、负载变化不大和对速度稳定性要求不高的小功率液压系统。

共 2 页:【下一页
民众工作室.制作  © 版权所有