您当前的位置:首页>>工艺与材料>>资源相关  
             鼓形齿联轴器设计计算 简明适用方法
                    王新林 ,孙永胜
    (1.湖南科技职业学院,湖南长沙410118;2.合肥钢铁公司钟山矿业公司,安徽合肥231554)
   摘要:本文基于啮合原理及国内外的设计资料,提出了一种鼓形齿联轴器的设计方法,并经过
实际应用验证,该方法可靠适用。
   关键词:鼓形齿;联轴器;几何尺寸计算;齿面接触强度
    Simple calculating method for design of drum tooth coupler
  Abstract:According to the basic engaging theory,domestic and foreign design data,author puts forward a simple calucularing method for design of drum tooth coupler.After being used,it is verified that the method is goodand reliable.
  Key words:drum tooth;coupler;geomety;calctdation;toth face contact strength
   1、本设计方法的适用范围和特点
  (1)允许两轴线角位移(交角偏差)△α≤1.5°,也可△α≤3°,△α增大,侧隙应增大,承
载能力下降。允许两轴线的径向位移△y=Ltanα,见图1、图2。
  (2)适用于中、低速重载荷传动。在相同的角位移时,比直齿联轴器的承载能力高15%~20%。
  (3)安装、拆卸时允许角位移△α≤±5°。
           
          
                     图2 鼓形齿联轴器工作状态
    (a)二轴线无径向位移,角位移△α     (b)二轴线径向位移Ay,内、外相对角位移△
    2、几何参数与几何尺寸计算
  (1)鼓形齿的形成。鼓形齿联轴器的内齿套为普通直齿内齿轮,外齿套为鼓形齿,多采用滚齿加工,见图3。滚刀中心Ou的轨迹为以OB为圆心,R 为半径的圆弧。以R为半径的圆弧称位移圆。一般取R=(0.5~1.9)d,R较小,允许△α较大,运转较灵活;R较大,接触强度较好。本文推荐取R=(0.5~1)d。d为分度圆直径,Ra=0.5da,鼓形齿的顶圆面为球面的一部分,对存在△α时的运转有利。德国SMS公司的重载鼓形齿设计采用此方法。
             
   滚齿加工的鼓形齿,在任一垂直于位移圆的截面内齿廓曲线为渐开线。因此当△α=0°时,鼓形齿与内齿圈的啮合是一条共轭渐开线啮合。当△α≠0,将出现非共轭啮合,且△α的绝对值越大,误差越大,见图4。
       
  (2)鼓形齿啮合平面、工作圆切面齿廓曲率半径。图5为齿廓的曲率半径。
       
   图5中,D—D视图为垂直鼓形齿套轴线齿中间截面图;A—A视图为包含啮合线AA且垂直D—D截面的截面图,A—A面称为啮合平面;B—B视图为过啮合点、与分圆相切且垂直D—D平面截面图;B—B面称工作圆切面。ge、gt分别为A—A、B—B截面单侧齿厚减薄量。
   滚齿加工的鼓形齿在A—A、B—B截面内的齿廓为双曲线(插齿加工为椭圆),各点曲率半径不相
等。为简化计算,分别用半径为Re、Rt 的圆弧代替,其误差很小,对工程计算足够精确。这样简化以后,Re、Rt与R有以下关系式:
   (1)         (2)
   式中e、ι为曲率系数, Re、Rt 分别为啮合平面和工作圆切面齿廓近似曲率半径,e、ι可以计算,但几何参量和计算过程较复杂,此处从略。当a=20°,对应不同齿数的e、ι值如表1,由表1可知e、ι相差不多。
        表1  曲率系数e,ι
      
       注:齿数与表中齿数不同时,可用插入法求得。
  (3)鼓形齿与内齿啮合的最小法向侧隙。与齿轮传动一样,鼓形齿联轴器内外齿啮合时,非啮合侧必须有足够的侧隙,而且应考虑△α、鼓形齿套与轴装配以及齿部加工误差对侧隙的影响。最小保证侧隙Js,补偿加工误差的侧隙Jz见表2。表2中Jz适用于7~8级精度齿轮。
             表2 侧隙Js、Jz      mm
       
   补偿角位移△a的侧隙Jα见表3;补偿鼓形齿轴套与轴组装膨胀的侧隙Jc见表4。
          表3 侧隙Jα
     
          表4 侧隙Jc
      
   设计齿侧法向侧隙
         (3)
   联轴器装配后未装在轴上且△α=0时的法向侧隙
            (4)
   联轴器装在轴上对中精确,且△α=0时的法向侧隙
               (5)
   联轴器工作,且△a达到允许值时的法向侧隙
               (6)
  (4)设计中给定侧隙的方法。侧隙给定的方法有多种,如按无侧隙啮合计算外齿轮的公法线Wn, 并给以负偏差,计算内齿圈圆棒测量跨距M,并给以正偏差;对内、外齿轮加工采用不同的变位系数,改变齿厚,造成侧隙等。本文推荐的方法见表5。先选定齿型参数,取内齿的变位系数Xz=0.5,然后按要求的侧隙计算鼓形齿的变位系数X1,并按Xl和X2计算齿厚测量数据。此法加工方便,且可使内、外齿趋向等强度。
   (5)几何计算。几何计算公式见表5。
         表5 几何计算公式



   3、强度计算
  (1)载荷与损伤形式。鼓形齿联轴器工作时传递转矩,内、外齿接触线上承受法向挤压力,同时由于两半联轴器鼓形齿轴线有角位移△α或径向位移△y,将有轴向分力,导致内、外齿间相对滑动。因此,损伤形式主要是齿面点蚀剥落和磨损。一般在点蚀剥落发展到一定程度时,才发生轮齿折断。
   减轻磨损的方法是润滑充分,润滑油合格干净,提高齿面硬度,精心安装,尽可能减小△α和△y。
  防止点蚀剥落则需控制齿面接触应力不超过许用值,即强度计算主要计算接触应力。
       
            (a)鼓形齿接触应力                (b)两圆柱体接触应力
                        图6: 接触应力简图
  (2)接触强度计算公式。如图6所示,齿面受力近似两弹性圆柱体相互挤压,接触部位产生赫兹接触应力。因此可按赫兹公式推导鼓形齿联轴器的接触强度计算公式。按赫兹公式有:
      
      
  式中,El、E2、μ1、μ2为两接触的弹性模量和泊松比,对于两钢制内外齿,,μ1=μ2=0.3;E1
;ω为单位长度上的载荷,对于鼓形齿为每个齿单位齿高上的载荷ω=
Fn/Zh,N/mm;h为齿高,h=1.5 m;Fn=;K 为承载能力系数,
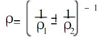
与△a有关(图7);T为传递的转矩;ρ为综合曲率半径,,对于鼓形齿与直齿内
齿啮合,内齿的曲率半径 ,即ρ=ρ1,而(图5)。如取
φe≈2.7(表1),并取R=O.5d,ρ1=2.7x0.5d=1.35d。
   将以上参量代入上式,可得
              (9)
  如取转矩T的单位为N.m,则上式可写成强度条件式
           (10)
  式中,σHP为许用齿面接触应力(表6)。
      表6 许用应力值
    
              
                   图7 承载能力系数
   4、结构设计
  鼓形齿联轴器的一般结构见图1,本文仅提及结构设计应妥善处理的几点。
  (1)外齿轴套外径
  (2)内齿圈直径,以便插齿退刀,D4应按空心轴承受转矩的强度计算通过。
  (3)两内、外齿宽中线距L在满足必要的轴向活动量的前提下尽可能较大。同时应保证内齿圈轴向窜动时鼓形齿宽中点在内齿的中部,内齿轮的齿宽两端点的距离大于模数。
  (4)鼓形齿的齿顶必须倒角,倒角大小根据内齿齿根圆角半径确定,一般不小于0.1m×45°。
   5、结束语
  本文提出一种鼓形齿联轴器的设计计算方法,其重点是表5及公式(10),即设计的核心问题,经实际应用验证该方法可靠适用。
  参考文献:
 [1] 齿轮手册编委会.齿轮手册[M].北京:机械工业出版社,2000.
 [2] 西安重型机械研究所.德国施罗曼西马克(SMS)圆柱齿轮减速器设计资料汇编[z].西安,1987.

  ●民众工作室制作   版权所有